2026, Vol. 11, No. 1
Display Method:
2026, 11(1)
doi: 10.1016/j.jobab.2025.07.003
Abstract:
Bioenergy with carbon capture and storage (BECCS) is the most promising option among various carbon dioxide removal technologies needed to cope with hard-to-abate emissions and limit global warming to below 1.5 or 2 ℃ above pre-industrial levels. BECCS offers an energy pathway toward carbon neutrality. This study highlights several key roles of BECCS in a net-zero energy future and outlines an array of recommendations for sustainable BECCS deployment.
Bioenergy with carbon capture and storage (BECCS) is the most promising option among various carbon dioxide removal technologies needed to cope with hard-to-abate emissions and limit global warming to below 1.5 or 2 ℃ above pre-industrial levels. BECCS offers an energy pathway toward carbon neutrality. This study highlights several key roles of BECCS in a net-zero energy future and outlines an array of recommendations for sustainable BECCS deployment.
2026, 11(1)
doi: 10.1016/j.jobab.2026.100231
Abstract:
Against the background of dual carbon goals, the transformation of forest biological resources has become a global research hotspot in sustainable forestry because of its dual value of efficient resource utilization and carbon cycle regulation. In this review, the correlation mechanism, industrial status quo, core challenges and optimization paths between the transformation of forest biological resources and dual carbon goals are systematically analyzed. The transformation of forest biological resources involves carbon sequestration through photosynthesis and the processing and conversion of carbon from woody and nonwoody forest resources. Relying on direct emission reduction (process optimization and energy upgrading) and indirect emission reduction/carbon substitution (building materials, energy and fuel substitution) mechanisms to support the dual carbon goals, globally, three major transformation directions have been formed—wood processing, nonwood processing, and biomass energy—as well as three core industrial areas in North America, Europe, and Asia. The current industry is confronted with challenges such as technological bottlenecks (e.g., the conversion efficiency of lignocellulose is only 40%–55%), economic market constraints (the price of biobased products is approximately 1.3–3.0 times that of petrochemical-based products), and fragmented policies and standards. Most existing reviews focus on a single technical path or policy framework and lack a systematic perspective of "full value chain collaboration + multiobjective balance". Moreover, a theoretical framework for the transformation of forest biological resources that integrates "technology research and development-industrial implementation-policy guarantee-ecological balance" is constructed. In addition, the quantitative goals and implementation paths for the three major transformation directions of "high-value product coproduction, low-carbon transformation, and circular utilization" are clearly defined.
Against the background of dual carbon goals, the transformation of forest biological resources has become a global research hotspot in sustainable forestry because of its dual value of efficient resource utilization and carbon cycle regulation. In this review, the correlation mechanism, industrial status quo, core challenges and optimization paths between the transformation of forest biological resources and dual carbon goals are systematically analyzed. The transformation of forest biological resources involves carbon sequestration through photosynthesis and the processing and conversion of carbon from woody and nonwoody forest resources. Relying on direct emission reduction (process optimization and energy upgrading) and indirect emission reduction/carbon substitution (building materials, energy and fuel substitution) mechanisms to support the dual carbon goals, globally, three major transformation directions have been formed—wood processing, nonwood processing, and biomass energy—as well as three core industrial areas in North America, Europe, and Asia. The current industry is confronted with challenges such as technological bottlenecks (e.g., the conversion efficiency of lignocellulose is only 40%–55%), economic market constraints (the price of biobased products is approximately 1.3–3.0 times that of petrochemical-based products), and fragmented policies and standards. Most existing reviews focus on a single technical path or policy framework and lack a systematic perspective of "full value chain collaboration + multiobjective balance". Moreover, a theoretical framework for the transformation of forest biological resources that integrates "technology research and development-industrial implementation-policy guarantee-ecological balance" is constructed. In addition, the quantitative goals and implementation paths for the three major transformation directions of "high-value product coproduction, low-carbon transformation, and circular utilization" are clearly defined.
2026, 11(1)
doi: 10.1016/j.jobab.2025.08.003
Abstract:
Multifunctional wearable flexible electronic devices based on hydrogels have received extensive research in recent years. Despite their promising applications, a significant challenge persists in terms of efficiently powering these devices. Triboelectric nanogenerators (TENGs) assembled by surface-modified hydrogels may be one of the promising strategies to address this challenge. This study presents the development of a multifunctional composite hydrogel, which is synthesized through the amino surface modification of glycerin-cellulose hydrogel (3-aminopropyltriethoxysilane-glycerin-cellulose, A-GC). The resulting composite hydrogel is utilized in the fabrication of electrodes of TENGs, which can effectively harvest mechanical energy to power flexible sensors. By using cellulose and glycerin as primary raw materials and 3-aminotriethoxysilane as surface modification components, the composite hydrogel exhibits excellent mechanical properties, coupled with good electrical conductivity (2.83 S/m). More importantly, it exhibits a high triboelectric output performance of 205.3 V, maintains stable long-term triboelectric output, and achieves a maximum triboelectric power density of 732.1 mW/m2. Furthermore, the introduction of glycerin into the cellulose hydrogel enhances its mechanical properties and triboelectric output performance even under extreme environmental conditions (–24 and 60 ℃). The A-GC-TENG demonstrates significant potential in various applications, including mechanical energy harvesting and conversion, writing recognition, wireless signal transmission, and human-computer interaction, showing great application prospects in flexible wearable sensors and self-powered electronic devices. The development of the composite cellulose hydrogel offers a novel approach for the fabrication of high-performance flexible wearable electronic devices, which is capable of functioning effectively in harsh environments.
Multifunctional wearable flexible electronic devices based on hydrogels have received extensive research in recent years. Despite their promising applications, a significant challenge persists in terms of efficiently powering these devices. Triboelectric nanogenerators (TENGs) assembled by surface-modified hydrogels may be one of the promising strategies to address this challenge. This study presents the development of a multifunctional composite hydrogel, which is synthesized through the amino surface modification of glycerin-cellulose hydrogel (3-aminopropyltriethoxysilane-glycerin-cellulose, A-GC). The resulting composite hydrogel is utilized in the fabrication of electrodes of TENGs, which can effectively harvest mechanical energy to power flexible sensors. By using cellulose and glycerin as primary raw materials and 3-aminotriethoxysilane as surface modification components, the composite hydrogel exhibits excellent mechanical properties, coupled with good electrical conductivity (2.83 S/m). More importantly, it exhibits a high triboelectric output performance of 205.3 V, maintains stable long-term triboelectric output, and achieves a maximum triboelectric power density of 732.1 mW/m2. Furthermore, the introduction of glycerin into the cellulose hydrogel enhances its mechanical properties and triboelectric output performance even under extreme environmental conditions (–24 and 60 ℃). The A-GC-TENG demonstrates significant potential in various applications, including mechanical energy harvesting and conversion, writing recognition, wireless signal transmission, and human-computer interaction, showing great application prospects in flexible wearable sensors and self-powered electronic devices. The development of the composite cellulose hydrogel offers a novel approach for the fabrication of high-performance flexible wearable electronic devices, which is capable of functioning effectively in harsh environments.
2026, 11(1)
doi: 10.1016/j.jobab.2025.10.002
Abstract:
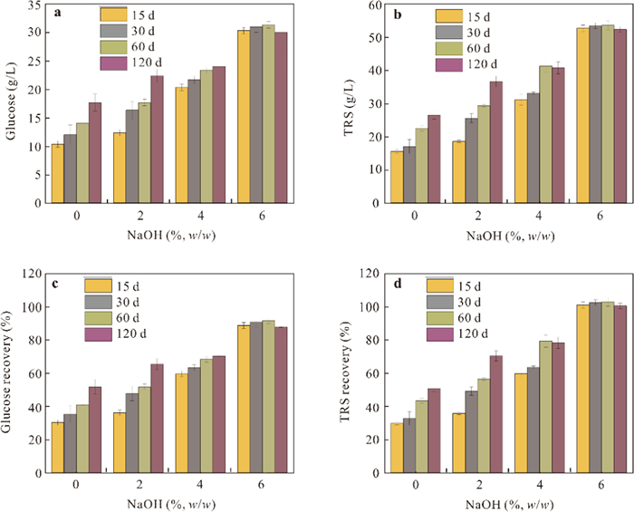
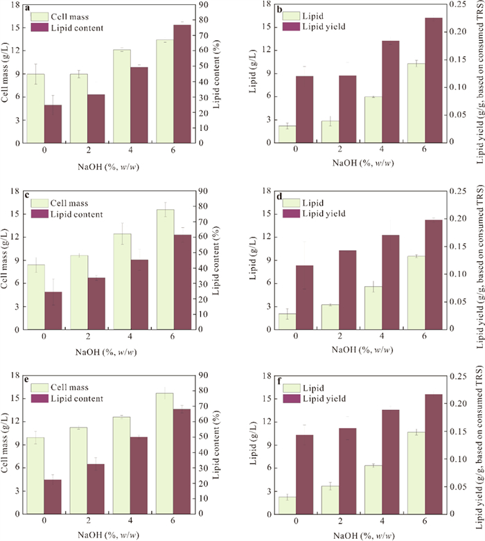
Lignocellulosic biomass (LCB) offers potential feedstocks for biofuels. As it generally involves processes including pretreatment, hydrolysis, and fermentation, LCB-based biorefinery at higher solids loading may improve substrate concentration and reduce operational costs, yet its scaling-up remains a challenge. Here, efficient conversion of corn stover (CS) at high solids loading into microbial lipids was demonstrated in a 1 000 L pilot-scale bioreactor using Rhodosporidium toruloides CGMCC 2.1389. The process employed lab-optimized conditions, including alkaline storage pretreatment of CS (AS-CS) with 6% NaOH for over 60 d at room temperature. The AS-CS (100 kg) was steamed in the 1 000 L bioreactor at 121 ℃ for 1 h at a solids loading of 20%, followed by subsequent removal of alkaline black liquor (ABL) using squeeze technology. The leftover residues were hydrolyzed by enzymes with a total reducing sugar (TRS) recovery of 93.6%. The lipid production in the 1 000 L bioreactor resulted in a lipid titer of 10.6 g/L and a yield of 0.194 g/g (based on consumed TRS). The mass flow analysis suggested that 89.6% of cellulose and 95.5% of hemicelluloses were released to produce lipids with little lignin by-products, avoiding their toxic effects on lipid production. The developed process in this work offers a promising avenue for industrial conversion of LCB into microbial lipids.
Lignocellulosic biomass (LCB) offers potential feedstocks for biofuels. As it generally involves processes including pretreatment, hydrolysis, and fermentation, LCB-based biorefinery at higher solids loading may improve substrate concentration and reduce operational costs, yet its scaling-up remains a challenge. Here, efficient conversion of corn stover (CS) at high solids loading into microbial lipids was demonstrated in a 1 000 L pilot-scale bioreactor using Rhodosporidium toruloides CGMCC 2.1389. The process employed lab-optimized conditions, including alkaline storage pretreatment of CS (AS-CS) with 6% NaOH for over 60 d at room temperature. The AS-CS (100 kg) was steamed in the 1 000 L bioreactor at 121 ℃ for 1 h at a solids loading of 20%, followed by subsequent removal of alkaline black liquor (ABL) using squeeze technology. The leftover residues were hydrolyzed by enzymes with a total reducing sugar (TRS) recovery of 93.6%. The lipid production in the 1 000 L bioreactor resulted in a lipid titer of 10.6 g/L and a yield of 0.194 g/g (based on consumed TRS). The mass flow analysis suggested that 89.6% of cellulose and 95.5% of hemicelluloses were released to produce lipids with little lignin by-products, avoiding their toxic effects on lipid production. The developed process in this work offers a promising avenue for industrial conversion of LCB into microbial lipids.
2026, 11(1)
doi: 10.1016/j.jobab.2025.10.003
Abstract:
Agroforestry waste-derived biochar has attracted wide interest in environmental remediation owing to its resource abundance and structural advantages. However, pristine biochar powders usually exhibit low catalytic activity and encounter challenges in separation and recovery, which limit their large-scale application. Here, we developed a rattan-derived biochar microreactor with a robust monolithic structure and abundant active sites using a facile component-regulation strategy. By tuning the inherent cellulose and lignin composition, we tailored hierarchically porous channels with high surface area, abundant defect-related catalytic sites, and desirable electrical conductivity. Taking peroxymonosulfate (PMS) activation as a model process, the continuous-flow biochar microreactor achieved efficient degradation of tetracycline (TC), methylene blue (MB), and rhodamine B (RhB), with an ultrahigh flux of 2.3 × 104 L/(m2·h) driven by gravity. Coupling with deep mechanism investigation and density functional theory (DFT) simulation, the favorable carbon configurations (e.g., graphitic structures and boundary-like defects) triggered a desirable non-radical dominated pathway in PMS activation, contributing to the impressive catalytic performance. This work not only expands horizons for high value-added utilization of biomass waste but also provides a practical paradigm for designing high-performance biochar microreactors for environmental remediation.
Agroforestry waste-derived biochar has attracted wide interest in environmental remediation owing to its resource abundance and structural advantages. However, pristine biochar powders usually exhibit low catalytic activity and encounter challenges in separation and recovery, which limit their large-scale application. Here, we developed a rattan-derived biochar microreactor with a robust monolithic structure and abundant active sites using a facile component-regulation strategy. By tuning the inherent cellulose and lignin composition, we tailored hierarchically porous channels with high surface area, abundant defect-related catalytic sites, and desirable electrical conductivity. Taking peroxymonosulfate (PMS) activation as a model process, the continuous-flow biochar microreactor achieved efficient degradation of tetracycline (TC), methylene blue (MB), and rhodamine B (RhB), with an ultrahigh flux of 2.3 × 104 L/(m2·h) driven by gravity. Coupling with deep mechanism investigation and density functional theory (DFT) simulation, the favorable carbon configurations (e.g., graphitic structures and boundary-like defects) triggered a desirable non-radical dominated pathway in PMS activation, contributing to the impressive catalytic performance. This work not only expands horizons for high value-added utilization of biomass waste but also provides a practical paradigm for designing high-performance biochar microreactors for environmental remediation.
2026, 11(1)
doi: 10.1016/j.jobab.2025.10.004
Abstract:
Diabetic ulcers represent a kind of severe chronic wound that presents significant challenges to global healthcare systems. The impaired healing process in diabetic wounds is attributed to persistent inflammation, compromised angiogenesis, and bacterial infections. When dermic injury occurs, the skin will initiate a complex cascade of natural repair procedures to facilitate coordinated progression through inflammatory, proliferative, and remodelling phases. Inspired by these physiological repair processes, a multifunctional hydrogel dressing was designed by combining capacitive polypyrrole (PPy) with bacterial cellulose (BC) hydrogel and platelet-rich plasma (PRP) to achieve synergistic antibacterial efficacy, immunomodulation of the wound microenvironment, and enhanced tissue regeneration. The BC hydrogel serves as a scaffold for PRP encapsulation, protecting growth factors from protease degradation while enabling sustained release. Capacitive PPy not only provides potent antibacterial activity through electric field (EF) mediated charge storage, but also promotes electrical signal transduction to regulate growth factor release kinetics. In vitro results revealed that pre-charged polypyrrole/bacterial cellulose/platelet-rich plasma (PBP) composite hydrogels exhibited superior bactericidal efficacy, enhanced fibroblast and endothelial cell proliferation, and modulation of macrophage polarization. In diabetic wound models, treatment with the electroactivated PBP composite hydrogel demonstrated a marked reduction in inflammatory responses, accelerated vascular regeneration, enhanced collagen deposition, and overall improvement in wound healing.
Diabetic ulcers represent a kind of severe chronic wound that presents significant challenges to global healthcare systems. The impaired healing process in diabetic wounds is attributed to persistent inflammation, compromised angiogenesis, and bacterial infections. When dermic injury occurs, the skin will initiate a complex cascade of natural repair procedures to facilitate coordinated progression through inflammatory, proliferative, and remodelling phases. Inspired by these physiological repair processes, a multifunctional hydrogel dressing was designed by combining capacitive polypyrrole (PPy) with bacterial cellulose (BC) hydrogel and platelet-rich plasma (PRP) to achieve synergistic antibacterial efficacy, immunomodulation of the wound microenvironment, and enhanced tissue regeneration. The BC hydrogel serves as a scaffold for PRP encapsulation, protecting growth factors from protease degradation while enabling sustained release. Capacitive PPy not only provides potent antibacterial activity through electric field (EF) mediated charge storage, but also promotes electrical signal transduction to regulate growth factor release kinetics. In vitro results revealed that pre-charged polypyrrole/bacterial cellulose/platelet-rich plasma (PBP) composite hydrogels exhibited superior bactericidal efficacy, enhanced fibroblast and endothelial cell proliferation, and modulation of macrophage polarization. In diabetic wound models, treatment with the electroactivated PBP composite hydrogel demonstrated a marked reduction in inflammatory responses, accelerated vascular regeneration, enhanced collagen deposition, and overall improvement in wound healing.
2026, 11(1)
doi: 10.1016/j.jobab.2025.11.001
Abstract:
Energy-efficient buildings require sustainable materials that combine structural performance with advanced optical and thermal functionalities to minimize energy consumption and greenhouse gas emissions. Here, we reported a new strategy to develop biodegradable transparent bamboo with a dense and ordered structure, achieved through selective delignification followed by directional pressing to align cellulose nanofibrils. This process yielded large-scale transparent bamboo with remarkable mechanical strength, 78% optical transparency in the visible spectrum, and a high haze (>90%) that ensured uniform daylight distribution and reduced reliance on artificial lighting. To further impart dynamic solar modulation, a thin polylactic acid film containing tungsten-doped vanadium dioxide (W-VO2) nanoparticles was integrated onto the transparent bamboo substrate. The resulting thermochromic bamboo exhibited a solar modulation ability of 9.7% along with effective thermal regulation that lowered indoor heating loads in hot regions. By synergizing biodegradability, mechanical robustness, and active photothermal control, this transparent bamboo/W-VO2 composite offered a sustainable and high-performance alternative to conventional glass, holding great promise for energy-efficient building applications.
Energy-efficient buildings require sustainable materials that combine structural performance with advanced optical and thermal functionalities to minimize energy consumption and greenhouse gas emissions. Here, we reported a new strategy to develop biodegradable transparent bamboo with a dense and ordered structure, achieved through selective delignification followed by directional pressing to align cellulose nanofibrils. This process yielded large-scale transparent bamboo with remarkable mechanical strength, 78% optical transparency in the visible spectrum, and a high haze (>90%) that ensured uniform daylight distribution and reduced reliance on artificial lighting. To further impart dynamic solar modulation, a thin polylactic acid film containing tungsten-doped vanadium dioxide (W-VO2) nanoparticles was integrated onto the transparent bamboo substrate. The resulting thermochromic bamboo exhibited a solar modulation ability of 9.7% along with effective thermal regulation that lowered indoor heating loads in hot regions. By synergizing biodegradability, mechanical robustness, and active photothermal control, this transparent bamboo/W-VO2 composite offered a sustainable and high-performance alternative to conventional glass, holding great promise for energy-efficient building applications.
2026, 11(1)
doi: 10.1016/j.jobab.2025.11.002
Abstract:
Enhancing photostability of lignocellulosic fibers is essential for their long-term use in light exposure applications. In this study, benzoylation was applied to kenaf fibers to suppress ultraviolet (UV)-induced yellowing and improve their light fastness. Structural analyses confirmed that esterification of hydroxyl groups and partial removal of lignin were successfully achieved during the benzoylation reaction. After 500 h of UV irradiation, benzoylated kenaf (BKF) showed a distinct whitening phenomenon, in contrast to the gradual yellowing of unmodified kenaf. This whitening effect was attributed to the initial photostabilization, and the discoloration was characterized by a plateau after the initial 48 h. The results confirmed that BKF effectively inhibited the formation of light-induced free radicals and mitigated subsequent surface oxidation. In the component-specific study, lignin was identified as the primary contributor to yellowing. In addition, the photobleaching behavior of benzoylated hemicellulose closely mirrored that of BKF, suggesting its pivotal role in the whitening effect observed in BKF. These results demonstrated that the photostability of natural fibers can be effectively improved through benzoylation by removing chromophore-forming lignin and introducing aromatic ester groups that mitigate radical propagation and oxidative degradation.
Enhancing photostability of lignocellulosic fibers is essential for their long-term use in light exposure applications. In this study, benzoylation was applied to kenaf fibers to suppress ultraviolet (UV)-induced yellowing and improve their light fastness. Structural analyses confirmed that esterification of hydroxyl groups and partial removal of lignin were successfully achieved during the benzoylation reaction. After 500 h of UV irradiation, benzoylated kenaf (BKF) showed a distinct whitening phenomenon, in contrast to the gradual yellowing of unmodified kenaf. This whitening effect was attributed to the initial photostabilization, and the discoloration was characterized by a plateau after the initial 48 h. The results confirmed that BKF effectively inhibited the formation of light-induced free radicals and mitigated subsequent surface oxidation. In the component-specific study, lignin was identified as the primary contributor to yellowing. In addition, the photobleaching behavior of benzoylated hemicellulose closely mirrored that of BKF, suggesting its pivotal role in the whitening effect observed in BKF. These results demonstrated that the photostability of natural fibers can be effectively improved through benzoylation by removing chromophore-forming lignin and introducing aromatic ester groups that mitigate radical propagation and oxidative degradation.
2026, 11(1)
doi: 10.1016/j.jobab.2025.11.003
Abstract:
In recent years, there has been a growing interest in the development of cellulose or nanocellulose (CNF) materials in food packaging industry due to their green and processable nature, while the inherent hydrophilicity of cellulose presents significant challenges in meeting the high barrier requirements essential for food packaging applications. In this study, a dual strategy of internal cross-linking and external functional coating was employed to fabricate high-barrier nanocellulose-based packaging. Dialdehyde CNF (DCNF) was incorporated into pristine CNF to form a dense cross-linking network containing hemiacetal linkages and hydrogen bonds. Additionally, an ethyl cellulose (EC)/curcumin (Cur) coating was applied to further improve hydrophobicity while leveraging curcumin’s pH-responsive properties for visual monitoring. The influence of DCNF oxidation time and CNF incorporation ratio on film crystallinity and water resistance was systematically studied. The synergistic interaction of DCNF/CNF crosslinking and surface coatings endows the composite membrane (DCNF1-75/CNF/ECCur) with exceptional barrier properties, achieving a 44% reduction in water vapor transmission rate and 99% suppression of oxygen transmission rate. Moreover, the film demonstrated multifunctional properties: over 99.9% antibacterial efficacy against Escherichia coli and Staphylococcus aureus, 91% antioxidant activity, effective food preservation capability along with visual monitoring functionality. This work provides a novel approach for designing multifunctional nanocellulose-based intelligent packaging materials.
In recent years, there has been a growing interest in the development of cellulose or nanocellulose (CNF) materials in food packaging industry due to their green and processable nature, while the inherent hydrophilicity of cellulose presents significant challenges in meeting the high barrier requirements essential for food packaging applications. In this study, a dual strategy of internal cross-linking and external functional coating was employed to fabricate high-barrier nanocellulose-based packaging. Dialdehyde CNF (DCNF) was incorporated into pristine CNF to form a dense cross-linking network containing hemiacetal linkages and hydrogen bonds. Additionally, an ethyl cellulose (EC)/curcumin (Cur) coating was applied to further improve hydrophobicity while leveraging curcumin’s pH-responsive properties for visual monitoring. The influence of DCNF oxidation time and CNF incorporation ratio on film crystallinity and water resistance was systematically studied. The synergistic interaction of DCNF/CNF crosslinking and surface coatings endows the composite membrane (DCNF1-75/CNF/ECCur) with exceptional barrier properties, achieving a 44% reduction in water vapor transmission rate and 99% suppression of oxygen transmission rate. Moreover, the film demonstrated multifunctional properties: over 99.9% antibacterial efficacy against Escherichia coli and Staphylococcus aureus, 91% antioxidant activity, effective food preservation capability along with visual monitoring functionality. This work provides a novel approach for designing multifunctional nanocellulose-based intelligent packaging materials.
2026, 11(1)
doi: 10.1016/j.jobab.2025.11.004
Abstract:
With growing demand for renewable resources, superhydrophobic wood is widely regarded as leading candidate for outdoor construction applications. However, superhydrophobic wood still suffers from insufficient mechanical strength and durability under long-term abrasion and ultraviolet (UV) exposure. Herein, a sacrificial synergy strategy combining elastic cross-linked network and hierarchical roughness was proposed to enhance both toughness and durability, and its toughening mechanism is clarified. Specifically, a flexible room temperature vulcanized (RTV) silicone rubber matrix was cross-linked with vinyltriethoxysilane (VTES) to construct an elastomeric interphase, while ZnO nanorods arrays were in situ grown to generate micro/nano-scale roughness and simultaneously act as a sacrificial barrier against external abrasion. The modified wood exhibited water contact angle over 154°. Furthermore, the expected excellent robustness toward water impact (continuous 66 h), sand impingement (100 g, 35 cm, 25 cycles), mechanical abrasion (1000 peeling cycles; sandpaper abrasion 400 cm), along with desirable chemical and environmental durability (48 h immersion in acidic and alkaline solution) of the modified wood was achieved as well. Moreover, the modified wood demonstrated multifunctional performance including self-cleaning, anti-fouling, humidity resistance (28 ℃, 85% relative humidity (RH), 15 days and 35 ℃, 90% RH, 6 days), and UV resistance (340 nm, 40 W, 33 days). This integrated approach not only proposed to construct mechanically resilient and environmentally durable superhydrophobic surfaces but also offered an effective design strategy for wood outdoor applications as construction material in long-term.
With growing demand for renewable resources, superhydrophobic wood is widely regarded as leading candidate for outdoor construction applications. However, superhydrophobic wood still suffers from insufficient mechanical strength and durability under long-term abrasion and ultraviolet (UV) exposure. Herein, a sacrificial synergy strategy combining elastic cross-linked network and hierarchical roughness was proposed to enhance both toughness and durability, and its toughening mechanism is clarified. Specifically, a flexible room temperature vulcanized (RTV) silicone rubber matrix was cross-linked with vinyltriethoxysilane (VTES) to construct an elastomeric interphase, while ZnO nanorods arrays were in situ grown to generate micro/nano-scale roughness and simultaneously act as a sacrificial barrier against external abrasion. The modified wood exhibited water contact angle over 154°. Furthermore, the expected excellent robustness toward water impact (continuous 66 h), sand impingement (100 g, 35 cm, 25 cycles), mechanical abrasion (1000 peeling cycles; sandpaper abrasion 400 cm), along with desirable chemical and environmental durability (48 h immersion in acidic and alkaline solution) of the modified wood was achieved as well. Moreover, the modified wood demonstrated multifunctional performance including self-cleaning, anti-fouling, humidity resistance (28 ℃, 85% relative humidity (RH), 15 days and 35 ℃, 90% RH, 6 days), and UV resistance (340 nm, 40 W, 33 days). This integrated approach not only proposed to construct mechanically resilient and environmentally durable superhydrophobic surfaces but also offered an effective design strategy for wood outdoor applications as construction material in long-term.


