2025, Vol. 10, No. 2
Display Method:
2025, 10(2): 123-127.
doi: 10.1016/j.jobab.2025.03.003
Abstract:
Wood-plastic composites (WPCs) combine the advantages of plastics and lumber, however, their progress is slowed by limitations resulting from the properties of plant-based materials (PBMs), the most critical of which is insufficient thermal stability. The temperature boundary for processing of WPCs is 200 ℃, as higher temperatures induce PBMs' degradation, yielding odor, uncontrolled darkening, porosity generation, and loss of WPCs' mechanical performance. Going beyond the framework of composites' science and taking a transdisciplinary look at processing degradation leads to very different conclusions. The food sector makes the best of PBMs' degradation, yielding not only indispensable feed but often works of art. Drawing from its experience with the desire to go beyond the state-of-the-art, WPCs need a paradigm shift considering processing degradation. The presented paper proposes the pathway against the flow. Instead of avoiding processing degradation, deliberately inducing and employing it with all the benefits, pushing WPCs toward sustainability by maximizing resource efficiency. Exceeding the temperature limit will enable the use of engineering plastics, which outperform commodity types. Considering PBMs, it will not only unleash the true potential of phytochemicals but also take advantage of the compounds yet to be generated in situ during processing degradation, enriching WPCs with benefits known from the food sector.
Wood-plastic composites (WPCs) combine the advantages of plastics and lumber, however, their progress is slowed by limitations resulting from the properties of plant-based materials (PBMs), the most critical of which is insufficient thermal stability. The temperature boundary for processing of WPCs is 200 ℃, as higher temperatures induce PBMs' degradation, yielding odor, uncontrolled darkening, porosity generation, and loss of WPCs' mechanical performance. Going beyond the framework of composites' science and taking a transdisciplinary look at processing degradation leads to very different conclusions. The food sector makes the best of PBMs' degradation, yielding not only indispensable feed but often works of art. Drawing from its experience with the desire to go beyond the state-of-the-art, WPCs need a paradigm shift considering processing degradation. The presented paper proposes the pathway against the flow. Instead of avoiding processing degradation, deliberately inducing and employing it with all the benefits, pushing WPCs toward sustainability by maximizing resource efficiency. Exceeding the temperature limit will enable the use of engineering plastics, which outperform commodity types. Considering PBMs, it will not only unleash the true potential of phytochemicals but also take advantage of the compounds yet to be generated in situ during processing degradation, enriching WPCs with benefits known from the food sector.
2025, 10(2): 128-144.
doi: 10.1016/j.jobab.2024.10.001
Abstract:
Cyanobacteria are photoautotrophic prokaryotes that perform oxygenic photosynthesis through photo oxidation of water. They have been widely used as model organisms for studying photosynthesis. In recent decades, photosynthetic organisms, including cyanobacteria, have been chosen as potential hosts for biofuel production due to their remarkable ability to convert carbon dioxide into biofuel without the input of an external energy source. Biofuel, an excellent substitute for fossil fuels, have received a lot of attention due to their eco-friendly properties. Cyanobacteria have emerged as one of the leading potential candidates for biofuel production due to their superior growth rate over other photosynthetic organisms employed in biofuel production and the presence of a significant amount of lipids (over 50% of dry cell weight) in the cells. Furthermore, they have higher photosynthetic efficiency, especially in CO2-rich environments, making them more desirable. In addition, their inherent ability to uptake exogenous deoxyribonucleic acid (DNA) in conjunction with homologous recombination makes them ideal candidates for transformation into photosynthetic cell factories to produce biofuels. The genetic and metabolic modifications have successfully enabled biofuel production in cyanobacteria; however, major challenges such as energy-intensive downstream processing, low yield, slow growth, and cytotoxicity are impeding its scale-up. This review discusses the production of various types of biofuels in cyanobacteria, as well as the current state of global biofuel production. It also emphasizes the major challenges in biofuel production and strategies for overcoming them.
Cyanobacteria are photoautotrophic prokaryotes that perform oxygenic photosynthesis through photo oxidation of water. They have been widely used as model organisms for studying photosynthesis. In recent decades, photosynthetic organisms, including cyanobacteria, have been chosen as potential hosts for biofuel production due to their remarkable ability to convert carbon dioxide into biofuel without the input of an external energy source. Biofuel, an excellent substitute for fossil fuels, have received a lot of attention due to their eco-friendly properties. Cyanobacteria have emerged as one of the leading potential candidates for biofuel production due to their superior growth rate over other photosynthetic organisms employed in biofuel production and the presence of a significant amount of lipids (over 50% of dry cell weight) in the cells. Furthermore, they have higher photosynthetic efficiency, especially in CO2-rich environments, making them more desirable. In addition, their inherent ability to uptake exogenous deoxyribonucleic acid (DNA) in conjunction with homologous recombination makes them ideal candidates for transformation into photosynthetic cell factories to produce biofuels. The genetic and metabolic modifications have successfully enabled biofuel production in cyanobacteria; however, major challenges such as energy-intensive downstream processing, low yield, slow growth, and cytotoxicity are impeding its scale-up. This review discusses the production of various types of biofuels in cyanobacteria, as well as the current state of global biofuel production. It also emphasizes the major challenges in biofuel production and strategies for overcoming them.
2025, 10(2): 145-169.
doi: 10.1016/j.jobab.2024.12.005
Abstract:
The development of sustainable biomaterials has recently attracted great interest in the fields of flexible electronics and biosensing hydrogels. Hydrogels are a class of three-dimensional spatial network structure, and their structure and shape can exhibit reversible or noticeable responses to various stimuli, making them a popular choice for flexible electronic materials in recent years. Acrylic hydrogels, which possess a rich carboxylate network, can provide significant sensing and actuation properties to the hydrogels. They are often synthesized through the co-polymerization of their monomers and cross-linking agents, and they can be combined with naturally occurring biopolymers such as cellulose and chitosan to enhance biocompatibility. In this paper, we review the compounding methods and preparation process technologies of functionalized acrylic hydrogels and the application of polyacrylic acid (PAA) bioproducts in various fields. Finally, we review the current challenges and future directions for acrylic hydrogel prepared sensors and their applications.
The development of sustainable biomaterials has recently attracted great interest in the fields of flexible electronics and biosensing hydrogels. Hydrogels are a class of three-dimensional spatial network structure, and their structure and shape can exhibit reversible or noticeable responses to various stimuli, making them a popular choice for flexible electronic materials in recent years. Acrylic hydrogels, which possess a rich carboxylate network, can provide significant sensing and actuation properties to the hydrogels. They are often synthesized through the co-polymerization of their monomers and cross-linking agents, and they can be combined with naturally occurring biopolymers such as cellulose and chitosan to enhance biocompatibility. In this paper, we review the compounding methods and preparation process technologies of functionalized acrylic hydrogels and the application of polyacrylic acid (PAA) bioproducts in various fields. Finally, we review the current challenges and future directions for acrylic hydrogel prepared sensors and their applications.
2025, 10(2): 170-186.
doi: 10.1016/j.jobab.2025.01.003
Abstract:
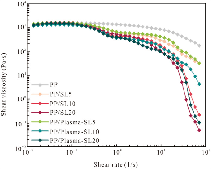
In this work, a new compatibilization strategy for polypropylene-lignin blends was presented, which did not rely on the use of solvents or other chemicals. Soda lignin was subjected to plasma treatment in an argon atmosphere employing a gliding-arc-tornado reactor configuration. The effect of this process was evaluated using electron paramagnetic resonance spectroscopy, nuclear magnetic resonance spectroscopy, differential scanning calorimetry, and thermogravimetric analysis, evidencing significant chemical-structural modifications in lignin, including an increased concentration of phenoxy radicals (60%) and depletion of hydroxyl functionalities (35%). Polypropylene-lignin blends incorporating 5% (w/w), 10% (w/w), and 20% (w/w) of either pristine or plasma-treated lignin were then prepared by melt-blending in a twin-screw extruder, and their thermo-mechanical and rheological properties were investigated in detail. As a result of the plasma-induced modifications occurred in lignin, blends incorporating the plasma-treated material exhibited greater thermo-oxidative stability, more favorable viscoelastic response, significantly improved mechanical performance (137% and 294% strain at break for polypropylene (PP) containing 5% (w/w) and 10% (w/w) of treated lignin, respectively), and enhanced thermo-mechanical reprocessability (> 95% retention of yield strength and strain at break after re-extrusion). This work provided the first demonstration of the effectiveness of plasma treatment as a viable and sustainable strategy to improve filler-matrix interactions in polypropylene-lignin blends without the use of solvents, chemical compatibilizers or additional wet-chemistry steps, paving the way for the development of lignin-based thermoplastic polyolefin materials with enhanced thermo-mechanical characteristics and improved reprocessability.
In this work, a new compatibilization strategy for polypropylene-lignin blends was presented, which did not rely on the use of solvents or other chemicals. Soda lignin was subjected to plasma treatment in an argon atmosphere employing a gliding-arc-tornado reactor configuration. The effect of this process was evaluated using electron paramagnetic resonance spectroscopy, nuclear magnetic resonance spectroscopy, differential scanning calorimetry, and thermogravimetric analysis, evidencing significant chemical-structural modifications in lignin, including an increased concentration of phenoxy radicals (60%) and depletion of hydroxyl functionalities (35%). Polypropylene-lignin blends incorporating 5% (w/w), 10% (w/w), and 20% (w/w) of either pristine or plasma-treated lignin were then prepared by melt-blending in a twin-screw extruder, and their thermo-mechanical and rheological properties were investigated in detail. As a result of the plasma-induced modifications occurred in lignin, blends incorporating the plasma-treated material exhibited greater thermo-oxidative stability, more favorable viscoelastic response, significantly improved mechanical performance (137% and 294% strain at break for polypropylene (PP) containing 5% (w/w) and 10% (w/w) of treated lignin, respectively), and enhanced thermo-mechanical reprocessability (> 95% retention of yield strength and strain at break after re-extrusion). This work provided the first demonstration of the effectiveness of plasma treatment as a viable and sustainable strategy to improve filler-matrix interactions in polypropylene-lignin blends without the use of solvents, chemical compatibilizers or additional wet-chemistry steps, paving the way for the development of lignin-based thermoplastic polyolefin materials with enhanced thermo-mechanical characteristics and improved reprocessability.
2025, 10(2): 187-198.
doi: 10.1016/j.jobab.2025.03.006
Abstract:
Building high-performance aerogels with biomass-derived rather than fossil-derived polymers is an eco-friendlier option given the increasingly serious sustainability issues. Chitosan (CS) aerogels with oriented pore structures exhibit broad application prospects owing to light weight, high porosity, and favorable bioactivity, but the dominating drawback in low mechanical strength greatly hinders their functional advantages. In this study, two types of silk microfibers with similar diameter yet different aspect ratios (1–3 (denoting as SmSF) and 50–100 (denoting as LmSF)) were used as fillers to reinforce CS aerogels prepared by directional freeze casting. The distinction of SmSF and LmSF in size led to their notable variations in distribution pattern, as SmSF embedded within the individual CS lamellae while LmSF traversed throughout the adjacent CS lamellae, which in consequence significantly influence their mechanical reinforcing efficiency. The compressive strength values could be improved from 61.67 kPa (pure CS aerogel) to 82.13 kPa (SmSF/CS aerogel) and 165.03 kPa (LmSF/CS aerogel), respectively, attributing to the transition in deformation mechanisms from a bending- to crumpling-dominated mode. In addition, the embedding or bridging structure could also change the liquid transportation property of CS aerogels. The results of this study demonstrated the feasibility of applying filler-size-mediated strategy for material structural optimization.
Building high-performance aerogels with biomass-derived rather than fossil-derived polymers is an eco-friendlier option given the increasingly serious sustainability issues. Chitosan (CS) aerogels with oriented pore structures exhibit broad application prospects owing to light weight, high porosity, and favorable bioactivity, but the dominating drawback in low mechanical strength greatly hinders their functional advantages. In this study, two types of silk microfibers with similar diameter yet different aspect ratios (1–3 (denoting as SmSF) and 50–100 (denoting as LmSF)) were used as fillers to reinforce CS aerogels prepared by directional freeze casting. The distinction of SmSF and LmSF in size led to their notable variations in distribution pattern, as SmSF embedded within the individual CS lamellae while LmSF traversed throughout the adjacent CS lamellae, which in consequence significantly influence their mechanical reinforcing efficiency. The compressive strength values could be improved from 61.67 kPa (pure CS aerogel) to 82.13 kPa (SmSF/CS aerogel) and 165.03 kPa (LmSF/CS aerogel), respectively, attributing to the transition in deformation mechanisms from a bending- to crumpling-dominated mode. In addition, the embedding or bridging structure could also change the liquid transportation property of CS aerogels. The results of this study demonstrated the feasibility of applying filler-size-mediated strategy for material structural optimization.
2025, 10(2): 199-208.
doi: 10.1016/j.jobab.2025.03.001
Abstract:
Lightweight structural materials with high strength and toughness are highly desirable for many advanced applications. Wood, as a sustainable structural material, is widely used in engineering due to its abundance and excellent mechanical properties. In this paper, we report a self-densification strategy to develop super-strong wood by reassembling highly aligned wood fibers as functional units and self-densified without the need for hot pressing. The resulting self-densified wood exhibits ultra-high tensile strength (496.1 MPa), flexural strength (392.7 MPa) and impact toughness (75.2 kJ/m2), surpassing those of compressed densified wood and traditional metal materials like aluminum alloys. Notably, the self-densified wood exhibits uniform shrinkage in the cross-section while maintaining its longitudinal dimension. This characteristic leads to an order-of-magnitude enhancement in the overall mechanical performance of the wood, presenting a significant advantage over compressed densified wood. Such super-strong yet lightweight wood has great potential for application as a sustainable engineering material, replacing traditional structural materials such as metals and alloys.
Lightweight structural materials with high strength and toughness are highly desirable for many advanced applications. Wood, as a sustainable structural material, is widely used in engineering due to its abundance and excellent mechanical properties. In this paper, we report a self-densification strategy to develop super-strong wood by reassembling highly aligned wood fibers as functional units and self-densified without the need for hot pressing. The resulting self-densified wood exhibits ultra-high tensile strength (496.1 MPa), flexural strength (392.7 MPa) and impact toughness (75.2 kJ/m2), surpassing those of compressed densified wood and traditional metal materials like aluminum alloys. Notably, the self-densified wood exhibits uniform shrinkage in the cross-section while maintaining its longitudinal dimension. This characteristic leads to an order-of-magnitude enhancement in the overall mechanical performance of the wood, presenting a significant advantage over compressed densified wood. Such super-strong yet lightweight wood has great potential for application as a sustainable engineering material, replacing traditional structural materials such as metals and alloys.
2025, 10(2): 209-223.
doi: 10.1016/j.jobab.2025.03.005
Abstract:
Efficient cleanup of crude oil continues to be a global challenge owing to its inherent high viscosity, which makes it difficult to remove with conventional porous adsorbents. Here, a novel multifunctional aerogel was fabricated through directional freeze-drying, leveraging its photothermal properties and directional structure for the rapid cleanup of crude oil. The aerogel incorporates 2,2,6,6-tetramethyl-1-piperidinyloxy oxidized nanocellulose to enhance Ti3C2T (MXene) to construct functional networks, MXene/gold nanoparticles (MX/AuNPs) as photothermal absorbers, and methyltrimethoxysilane for hydrophobic coatings. After 30 compression-release cycles at 90% strain, the strain retention of the aerogel is 85.7%, indicating its mechanical super-elasticity. The as-prepared aerogel showed durable hydrophobicity (145°), high oil/organic solvent absorption capacity (45.7–85.6 g/g), and efficient photothermal conversion, rapidly attaining and sustaining 76 ℃. Interestingly, for viscous crude oil that cannot be absorbed for a long time, the aerogel completed the absorption within 10 s after illumination, demonstrating an improved absorption ability of viscous crude oil. Furthermore, the obtained aerogel successfully achieved controlled and rapid light-driven motion, as well as long-lasting photothermal sterilization performance. This work presents a feasible strategy for developing multifunctional composite aerogels, addressing the increasing demands in crude oil separation applications.
Efficient cleanup of crude oil continues to be a global challenge owing to its inherent high viscosity, which makes it difficult to remove with conventional porous adsorbents. Here, a novel multifunctional aerogel was fabricated through directional freeze-drying, leveraging its photothermal properties and directional structure for the rapid cleanup of crude oil. The aerogel incorporates 2,2,6,6-tetramethyl-1-piperidinyloxy oxidized nanocellulose to enhance Ti3C2T (MXene) to construct functional networks, MXene/gold nanoparticles (MX/AuNPs) as photothermal absorbers, and methyltrimethoxysilane for hydrophobic coatings. After 30 compression-release cycles at 90% strain, the strain retention of the aerogel is 85.7%, indicating its mechanical super-elasticity. The as-prepared aerogel showed durable hydrophobicity (145°), high oil/organic solvent absorption capacity (45.7–85.6 g/g), and efficient photothermal conversion, rapidly attaining and sustaining 76 ℃. Interestingly, for viscous crude oil that cannot be absorbed for a long time, the aerogel completed the absorption within 10 s after illumination, demonstrating an improved absorption ability of viscous crude oil. Furthermore, the obtained aerogel successfully achieved controlled and rapid light-driven motion, as well as long-lasting photothermal sterilization performance. This work presents a feasible strategy for developing multifunctional composite aerogels, addressing the increasing demands in crude oil separation applications.
2025, 10(2): 224-238.
doi: 10.1016/j.jobab.2025.03.004
Abstract:
The enzyme immobilization technique has been widely applied in biotechnology, biomedicine, and environmental remediation. In this research, carboxylated bamboo-based cellulose nanofibers (BCNFs) were obtained by one-step oxidation modification of bamboo fibers using ammonium persulphate. The surface carboxyl groups of the BCNFs were modified by a crosslinking agent and then combined with polyethylene imine (PEI) functionalized magnetic nanoparticles to construct a microreactor system for enzyme loading by the methods of electrostatic self-assembly and physical adsorption. Contrasted with free β-glucosidase, the microreactor possesses higher relative enzyme activity at pH 5.5 and 50 ℃, and the storage stability is significantly higher, with >75% relative enzyme activity after storage at 4 ℃ for 15 d. In addition, the β-glucosidase loaded on the microreactor facilitates its separation from the reaction medium and subsequent reuse. After completing five cycles of use, it retained 76.47% of its initial activity. The biotransformation of geniposide reached 93.10%, and the genipin concentration increased 1.2 folds higher than that in the original plant extract. Therefore, PEI@Fe3O4@BCNFs microreactor immobilized with β-glucosidase can be successfully used to produce higher activity aglucone such as genipin from geniposide, and it might also have the potential to convert phytochemicals by the immobilized enzyme microreactor system with bamboo-based cellulose nanofibers in the natural production field.
The enzyme immobilization technique has been widely applied in biotechnology, biomedicine, and environmental remediation. In this research, carboxylated bamboo-based cellulose nanofibers (BCNFs) were obtained by one-step oxidation modification of bamboo fibers using ammonium persulphate. The surface carboxyl groups of the BCNFs were modified by a crosslinking agent and then combined with polyethylene imine (PEI) functionalized magnetic nanoparticles to construct a microreactor system for enzyme loading by the methods of electrostatic self-assembly and physical adsorption. Contrasted with free β-glucosidase, the microreactor possesses higher relative enzyme activity at pH 5.5 and 50 ℃, and the storage stability is significantly higher, with >75% relative enzyme activity after storage at 4 ℃ for 15 d. In addition, the β-glucosidase loaded on the microreactor facilitates its separation from the reaction medium and subsequent reuse. After completing five cycles of use, it retained 76.47% of its initial activity. The biotransformation of geniposide reached 93.10%, and the genipin concentration increased 1.2 folds higher than that in the original plant extract. Therefore, PEI@Fe3O4@BCNFs microreactor immobilized with β-glucosidase can be successfully used to produce higher activity aglucone such as genipin from geniposide, and it might also have the potential to convert phytochemicals by the immobilized enzyme microreactor system with bamboo-based cellulose nanofibers in the natural production field.
2025, 10(2): 239-252.
doi: 10.1016/j.jobab.2025.03.002
Abstract:
Disposable plastic straws are small, lightweight, and non-degradable, making them rarely recycled and causing severe environmental pollution. However, the search for suitable alternatives, balancing high performance with low cost, poses a substantial challenge. Inspired by bamboo’s flexibility and toughness, this study proposed an innovative solution: a biodegradable drinking straw fabricated by winding ultra-thin bamboo slices. The specially prepared bamboo slices demonstrated high tensile strength, exceptional flexibility for bending, and the ability to withstand repeated torsion. To address natural issues of color-producing group migration and mold susceptibility, the bamboo slices underwent simultaneous soaking and ultrasonic treatment. The resulting bamboo straws exhibited remarkable properties with compressive strength of 16.42–19.01 MPa and bending strength of 14.21–15.02 MPa, which matched or exceeded those of commercial paper straws and were significantly higher than those of polypropylene (PP) and polylactic acid (PLA) straws. When exposed to various beverages, bamboo straws retained their structural integrity, absorbed significantly less water than paper straws, and the wet strength was 4.36 times greater than that of paper straws. Moreover, bamboo drinking straws exhibited low production costs and garnered widespread consumer approval. The strategy for industrial-scale production of bamboo straws offers significant potential for replacing plastic straws.
Disposable plastic straws are small, lightweight, and non-degradable, making them rarely recycled and causing severe environmental pollution. However, the search for suitable alternatives, balancing high performance with low cost, poses a substantial challenge. Inspired by bamboo’s flexibility and toughness, this study proposed an innovative solution: a biodegradable drinking straw fabricated by winding ultra-thin bamboo slices. The specially prepared bamboo slices demonstrated high tensile strength, exceptional flexibility for bending, and the ability to withstand repeated torsion. To address natural issues of color-producing group migration and mold susceptibility, the bamboo slices underwent simultaneous soaking and ultrasonic treatment. The resulting bamboo straws exhibited remarkable properties with compressive strength of 16.42–19.01 MPa and bending strength of 14.21–15.02 MPa, which matched or exceeded those of commercial paper straws and were significantly higher than those of polypropylene (PP) and polylactic acid (PLA) straws. When exposed to various beverages, bamboo straws retained their structural integrity, absorbed significantly less water than paper straws, and the wet strength was 4.36 times greater than that of paper straws. Moreover, bamboo drinking straws exhibited low production costs and garnered widespread consumer approval. The strategy for industrial-scale production of bamboo straws offers significant potential for replacing plastic straws.
2025, 10(2): 253-269.
doi: 10.1016/j.jobab.2025.01.005
Abstract:
Russula vinosa Lindblad (R. vinosa Lindblad) is a nutrient-rich wild edible fungus, abundant in carbohydrates. In this study, two polysaccharides (Russula polysaccharides extracted from 1% KOH (RP-1) and Russula polysaccharides extracted from 5% KOH (RP-5)) were extracted from Russula fruit bodies using KOH-graded extraction technology. The molecular weights of RP-1 and RP-5 were 187000 and 97300 u, respectively. Their glycosyl compositions (galactose꞉glucose꞉xylose꞉ mannose, i.e., Gal꞉Glu꞉Xyl꞉Man) were 0.27:1.00:0.01:0.16 for RP-1 and 0.12:1.00:0.03:0.19 for RP-5. Nuclear magnetic resonance (NMR) analysis revealed that the main structural component of RP-1 was →3,6)-β-d-Glup-(1→, with a →6)-β-d-Glup-(1→ residue linked at sites 1 and 6, and a →3)-β-d-Glup-(1→ residue linked at sites 3. The RP-5 shared this structure with an additional →4)-β-d-Manp-(1→ residue attached to the →3)-β-d-Glup-(1→. Phagocytosis assay demonstrated that RP-5, with a lower molecular weight, lower galactose content, and higher xylose and mannose content, enhanced RAW 264.7 cell phagocytic activity by 121.04%, outperforming RP-1, which showed a 42.15% increase at the same concentration of 600 μg/mL. Furthermore, both RP-1 and RP-5 reduced the release of inflammatory factors and induced the nuclear translocation of the nuclear transcription factor-κB (NF-κB) pathway in RAW 264.7 cells. This study provided insights into the structural characteristics and immunomodulatory properties of Russula polysaccharides, offering potential for further applications in bioactive compound development.
Russula vinosa Lindblad (R. vinosa Lindblad) is a nutrient-rich wild edible fungus, abundant in carbohydrates. In this study, two polysaccharides (Russula polysaccharides extracted from 1% KOH (RP-1) and Russula polysaccharides extracted from 5% KOH (RP-5)) were extracted from Russula fruit bodies using KOH-graded extraction technology. The molecular weights of RP-1 and RP-5 were 187000 and 97300 u, respectively. Their glycosyl compositions (galactose꞉glucose꞉xylose꞉ mannose, i.e., Gal꞉Glu꞉Xyl꞉Man) were 0.27:1.00:0.01:0.16 for RP-1 and 0.12:1.00:0.03:0.19 for RP-5. Nuclear magnetic resonance (NMR) analysis revealed that the main structural component of RP-1 was →3,6)-β-d-Glup-(1→, with a →6)-β-d-Glup-(1→ residue linked at sites 1 and 6, and a →3)-β-d-Glup-(1→ residue linked at sites 3. The RP-5 shared this structure with an additional →4)-β-d-Manp-(1→ residue attached to the →3)-β-d-Glup-(1→. Phagocytosis assay demonstrated that RP-5, with a lower molecular weight, lower galactose content, and higher xylose and mannose content, enhanced RAW 264.7 cell phagocytic activity by 121.04%, outperforming RP-1, which showed a 42.15% increase at the same concentration of 600 μg/mL. Furthermore, both RP-1 and RP-5 reduced the release of inflammatory factors and induced the nuclear translocation of the nuclear transcription factor-κB (NF-κB) pathway in RAW 264.7 cells. This study provided insights into the structural characteristics and immunomodulatory properties of Russula polysaccharides, offering potential for further applications in bioactive compound development.


